材料物理与化学学科是材料科学与工程一级学科下属的三个二级学科之一,具有工学博士、工学硕士学位的授权资格并且具备良好的导师队伍与研究条件。材料物理与化学学科是在电子、原子、分子层次上研究材料的物理和化学行为规律,通过材料的结构和功能设计,实现材料的制备与合成,探索材料的主要性能及其与成分结构的关系,研究和发展新型的先进功能材料和相关器件。材料物理与化学学科的研究特色是以凝聚态物理、材料表面与界面、固体化学、电化学等为理论基础,以国际先进材料领域的发展前沿为导向,主要进行低维量子材料、光电材料、生物材料、薄膜材料、功能陶瓷材料、能源材料及先进金属材料的制备技术及相关物理化学性能的研究,并开发与国民经济与军事工业有关的新型功能器件。
材料物理与化学学科共有教师40人,其中教授15人,副教授4人,博士生导师13人,国家级人才1人次,省部级人才12人次,学科以中青年教师为主,45岁以下教师占70%。正在承担和已经完成了包括国家重点研发计划、国家科技攻关项目、国家自然科学基金项目、国家教育部重点项目、省院省校合作项目、云南省国际合作、云南省自然科学基金重点项目、云南省自然科学基金项目等众多科研项目。材料物理与化学学科拥有广泛的国际国内合作交流基础,与美国、日本、德国、英国、澳大利亚等国外众多国际知名大学,及国内清华大学、中国科技大学、北京大学、中国科学院物理所、国家超导实验室、中南大学、昆明物理所、云南非金属矿产研究所、云南半导体器械厂等单位建立了教学、科研合作,聘请了多名国内外知名人士为本学科客座教授。学科已建成价值近4000万元的设备条件,为学科的发展提供了坚实的物质基础,也为高层次人才的培养、高水平学科的建设创造了有利条件。
学科专业平台部分研究和教学仪器设备,以及部分研究成果:

脉冲激光沉积系统(PLD,Pulsed Laser Deposition System) |

超高真空X射线光电子能谱(XPS,Ultrahigh Vacuum X-ray Photoelectron Spectroscopy) |

原子力显微镜(AFM,Atomic Force Microscope)
等离子体增强化学汽相沉积(PECVD,Plasma Enhanced Chemical Vapor Deposition) |

磁控溅射系统(MSS,Magnetron Sputtering System)
低温霍尔测试系统(LT-HMS,Low Temperature Hall Measure System) |

显微共焦拉曼光谱仪(Raman Spectroscopy) |

太阳电池测试仪(Solar Cell Measure System) |

放电等离子烧结系统(SPS,Spark Plasma Sintering) |

高真空多功能离子束溅射与电子束蒸发连续镀膜设备(High vacuum multi-function ion beam sputtering and electron beam evaporation continuous coating equipment) |
|

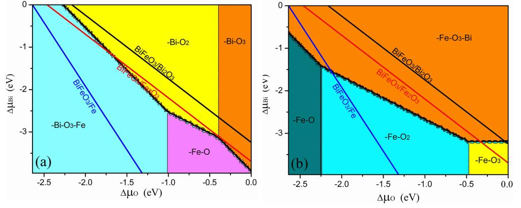
单相多铁性体BiFeO3 (0001) 极性表面的热力学相图(a)负表面(b)正表面

单相多铁性体CaMn7O12的螺旋磁结构和铁电相变机制 |
| 放电等离子烧结制备生物医用Ti-Ag/Ti径向梯度多孔材料 |